首页
党政
党网 · 时政
人事
反腐
理论
党史
党建
要闻
经济 · 科技
社会 · 法治
文旅 · 体育
健康 · 生活
国际
军事
港澳
台湾
教育
房产
科普
观点
好博体育评
三评
人民财评
人民来论
人民访谈
互动
领导留言板
强国论坛
维权
可视化
视频
图片
图解
地方
京
津
冀
晋
蒙
辽
吉
黑
沪
苏
浙
皖
闽
赣
鲁
豫
鄂
湘
粤
桂
琼
渝
川
黔
滇
藏
陕
甘
青
宁
新
鹏
雄安
举报专区
多语言
|
合作网站
毛主席纪念堂
周恩来纪念网
邓小平纪念网
人大新闻网
工会新闻网
中国侨联
学习强国
中共中央党史和文献研究院
中组部12380举报网
全国哲学社科工作办
中国统一战线新闻网
旗帜网
国家保密局
人事考试网
科普中国
知识产权
中国城市网
中国国家人文地理
登录
退出
好博体育+
中国共产党新闻网
领导留言板
强国论坛
人民视频
人民智云
人民日报报系
人民日报
人民日报海外版
中国汽车报
中国能源报
健康时报
证券时报
国际金融报网
讽刺与幽默
中国城市报
新闻战线
人民论坛
环球人物
中国经济周刊
民生周刊
国家人文历史
人民周刊
旗下网站
国家重点实验室
环球网
海外网
人民图片
人民视觉
好博体育研究院
好博体育
>>
教育
>>
滚动新闻
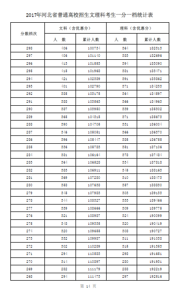
2017年河北高考分数段统计表【2】
2017年06月25日15:57 | 来源:
好博体育-教育频道
小字号
【1】
【2】
【3】
(责编:方萌萌(实习生)、贺迎春)
分享让更多人看到
推荐阅读
专访北京市委教育工委副书记李奕
编者按:近年来,北京市教育系统聚焦学生的实际获得,全面深化教育综合改革,努力让优质教育资源惠及更多学生,为全国教育改革发展探索了重要经验。近日,北京市委教育工委副书记、市教委新闻发言人李奕做客好博体育,围绕北京市在减轻学生课业负担、新高考改革等基础教育领域的探索经验,以及如何推进高质量教育体系建设等话题进行了深入解读和分享。…
新高考对高校招生有何影响?招办主任这样说
编者按:2021年全国高考将于6月7日起正式拉开大幕。今年,河北、辽宁、江苏、福建、湖北、湖南、广东、重庆等第三批高考综合改革省份,将实行“3+1+2”模式。…
客户端下载
人民日报
好博体育+
手机好博体育
领导留言板
人民视频
人民智云
人民智作
热门排行
1
教育评价要回归“育人”本位
2
别过度沉溺看上去很美的“慢就业”
3
8省市新高考落地:志愿怎么填
4
花几万元咨询填志愿 能换来更好的人生吗
5
筑梦路上 青春昂扬
6
幼儿更快乐 家长更放心
7
大手牵小手 包粽迎端午
8
“青年红色筑梦之旅”活动在井冈山启动
9
过度放松不该是 高考后的“标配”
10
用青春书写华彩篇章(快评)
评论
分享
关注
微信
微博
快手
第一时间为您推送权威资讯
报道全球 传播中国
关注好博体育,传播正能量
返回顶部