好博体育
好博体育>>教育

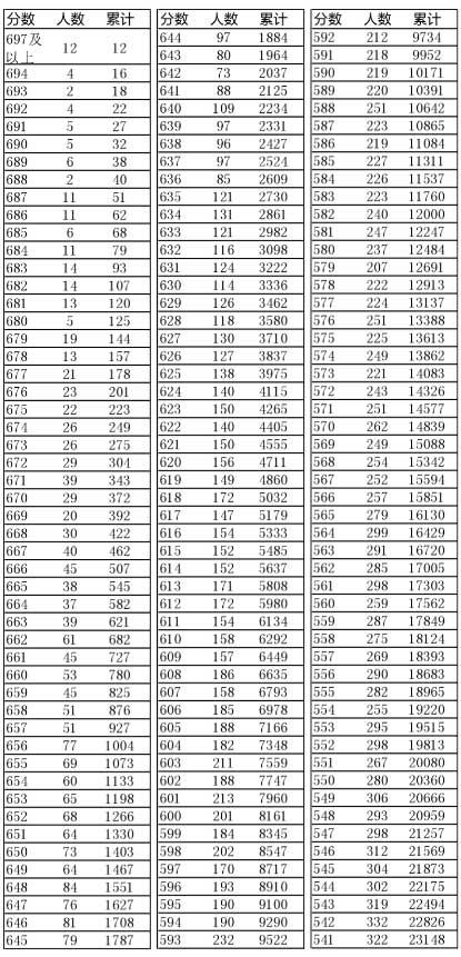
辽宁2016年“高考成绩一分一段表”

2016年06月24日11:03 | 来源:辽宁日报
小字号
理工1
理工1
原标题:辽宁2016年“高考成绩一分一段表”发布

2016年辽宁高考录取控制分数线及“高考成绩一分一段表”均已发布,我省文史类考生641分及以上者共11人,6586人分数超过一本分数线;理工类类考生697分及以上者共12人,38582人分数超过一本分数线。

(责编:安亚欣(实习生)、贺迎春)

分享让更多人看到

返回顶部